找回密码
 立即注册

[理气] 《六十四卦理气》💰5

[复制链接]
发表于 前天 13:37 | 显示全部楼层 |阅读模式
风水古籍《六十四卦理气》老师傅手抄
页数:17页
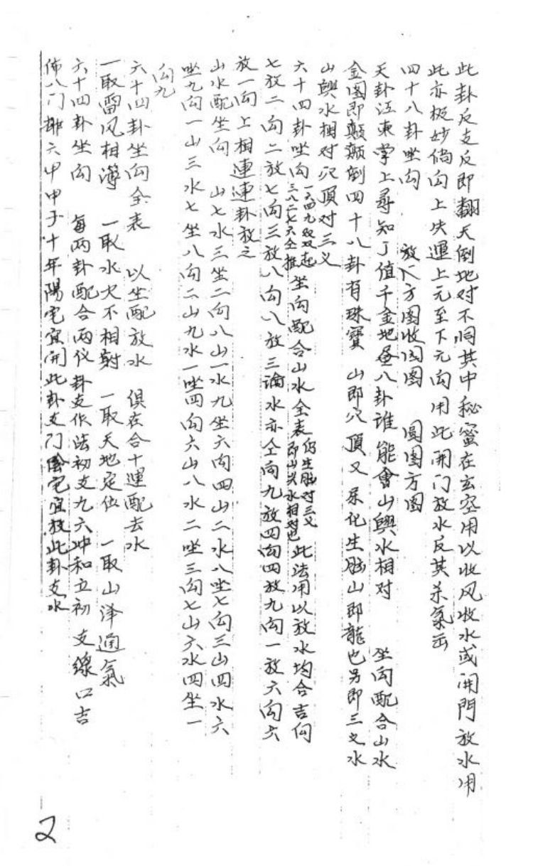
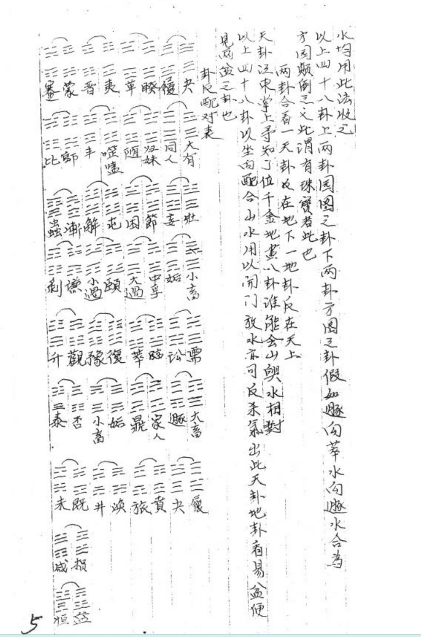
六十四卦理气是风水学中的一种理论体系,主要通过六十四卦的卦气、卦运等概念来分析环境与运势的关系。以下是其核心要点:
先天与后天之分
先天六十四卦为体,后天三元玄空法为用。先天卦位依卦爻不同划分年数,后天卦运则以一至九运各掌二十年。两者均管理一百八十年,但应用上以后天法为主,先天法用于延运续命。
南北父母卦与江东江西卦
父母卦:北卦(贪狼)为父卦,南卦(右弼)为母卦,代表阴阳相对。
江东卦:由贪狼父卦内三爻变化而来,分天元、人元、地元。
江西卦:由右弼母卦内三爻变化而来,同样分天元、人元、地元。
卦运与卦气
先天六十四卦卦运共分九运,以五黄为界分为上元(一、二、三、四运)和下元(六、七、八、九运)。五黄运前十年寄于四运,后十年寄于六运。
应用时以卦运为主,卦气为辅。卦运慢发但时效长,卦气速发但时效短。
龙向水的规则
龙、向、水的卦运需符合“一九合十”“二八合十”“三七合十”“四六合十”等规则,同时需满足“一六共宗”“二七同道”“三八为朋”“四九为友”及“一七阴阳”“二六阴阳”等条件。
若龙向水不合生成数、不合十或不合阴阳,称为“阴阳相乘”,需通过改水等方式调整,使其符合河图生成数。
廿四山卦气摘定
不同山向的卦气在特定运数中可能存在死绝情况,如壬山观卦在一运卦气死绝,子山剥卦在二运卦气死绝等,需根据具体运数判断是否可用。
六十四卦理气理论较为复杂,实际应用需结合具体环境和运数综合判断
高清无水印资料下载购买请下拉到底部:
网站没有到的资料请加客服微信:rbt7688
温馨提示:你目前看到的图片是截屏图片,原资料清晰度会更高
1 (1).jpg

1 (2).jpg

1 (3).jpg

1 (4).jpg

1 (5).jpg

免责声明:
(1)站内所有资源均来自互联网收集或用户上传分享,本站不拥有此类资源的版权
(2)古籍国学资源网作为网络服务提供者,对非法转载,盗版行为的发生不具备充分监控能力.但是当版权拥有者提出侵权指控并出示充分版权证明材料时,古籍国学资源网负有移除盗版和非法转载作品以及停止继续传播的义务
(3)古籍国学资源网在满足前款条件下采取移除等相应措施后不为此向原发布人承担违约责任或其他法律责任,包括不承担因侵权指控不成立而给原发布人带来损害的赔偿责任
以上内容如果侵犯了你的权益,请联系客服微信:rbt7688 我们将尽快处理


服务说明:
(1)资源来源于网络公开发表文件,所有资料仅供学习交流;
(2)金钱仅用来维持网站运营/文件整理费,性质为用户友情赞助,非购买文件费用(1元=1金钱);
(3)极个别百度网盘分享链接失效,请加客服微信:rbt7688
(4)虚拟资源不是实物,不发快递,仅供百度网盘下载使用。
(5)不用担心不给资料,如果没有及时回复也不用担心,看到会立发给您,信誉值万金!

温馨提示:
部分玄学、武术、医学等资料非专业人士请勿模仿学习,仅供参考,安全至上

常见问题
(1)如何购买?
先注册→→后登录→→再点击【立即购买】进行付款。/或者也可以直接不注册,直接点击【立即购买】进行付款
(2)付完款后,在哪儿下载/获取资料?
方法① : 确认付款后→→点开紫色的【立即下载】→→点击进去就能看到资源获取的方式,保存下来就行。
方法② : 点击右上角【人像标志】,也就是登录处旁边的【提醒】→→→→购买记录→→下载。
方法③:加客服微信:rbt7688 直接发文件或者邮箱、QQ等多种方式直发。
(3)资源获取方式?
百度网盘发货(国内用户都是使用这个),非实物,无快递物流。因虚拟资源具有可复制性,一经发出,概不退换。
(4)金币是什么意思
1金币=1元。金币仅用来维持网站运营/文件整理成本,性质为用户友情赞助,非购买文件费用,购买即代表同意此观点

资源下载
(1)1金钱=1元。金钱仅用来维持网站运营/文件整理成本,性质为用户友情赞助,非购买文件费,购买即代表同意此观点
购买/下载后,任何问题联系客服微信:rbt7688
(2)建议登录下单,可随时再次查看下载地址。部分手机浏览器支付后无法自动跳转显示下载地址!(建议注册账号登录下单或者联系客服发送
(3)部分资料仅登录可见!







微信/支付宝购买

 支付下载 

您需要登录后才可以回帖 登录 | 立即注册

本版积分规则

QQ|手机版|古籍秘籍易学国学资源网 |网站地图

GMT+8, 2025-10-16 05:10 , Processed in 0.133096 second(s), 29 queries .

快速回复 返回顶部 返回列表